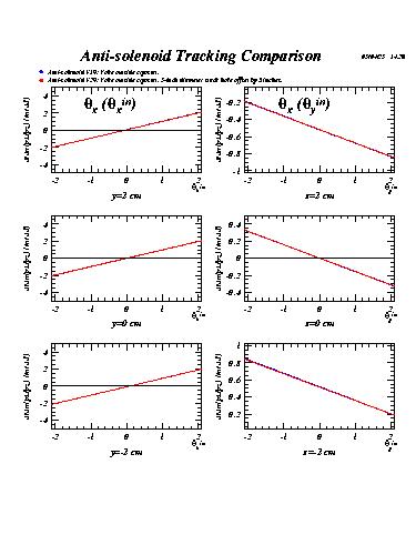
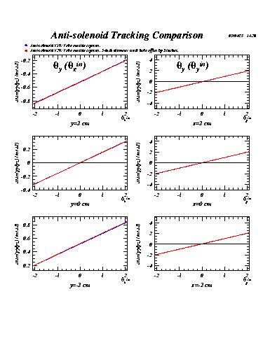
Field Integrals and Transfer Functions
Results of Model Calculations


Anti-Solenoid Design Meeting
25 April 2005



An overview of these calculations can be found here.




Creation date: 04/25/05.