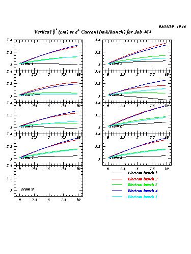
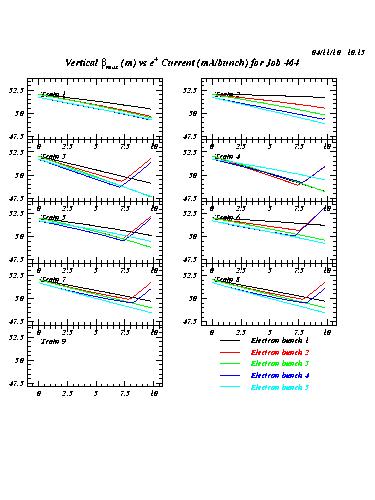
Bunch-by-Bunch Analysis of CHESS Optics


Lattice: chess_040928_0800

10 November 2004


8x5 positron bunches, uniformly filled. PRZ13=0.

Log file



Creation date: 11/10/04.