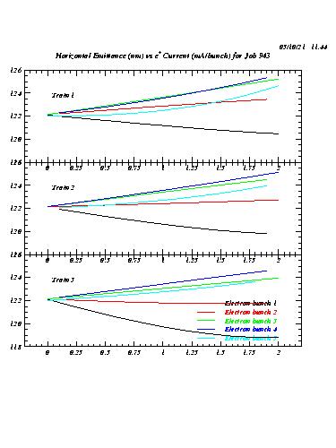
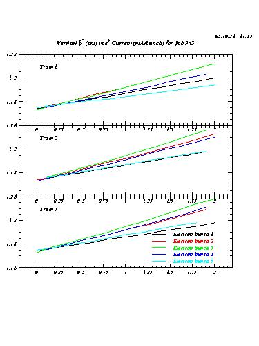
BBI Effects on alpha* and Electron Waist at IP


Lattice: 4160_fromdlr4200

21 October 2005


2.080 GeV lattice in use during machine studies of 9/10 October 2005. These studies investigated the bunch-by-bunch dependence of luminosity on VNOSEING 1, which is a knob designed to vary alpha*. 9x5 bunch configuration with nearly 2 mA/postron bunch. The BBI at the IP is turned off in this calculation.



Creation date: 10/21/05.