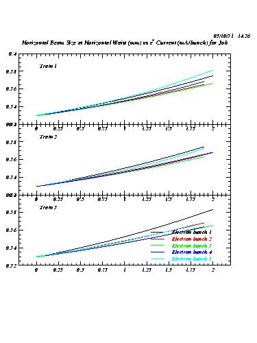
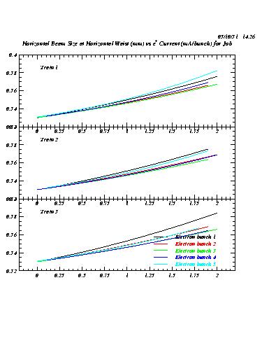
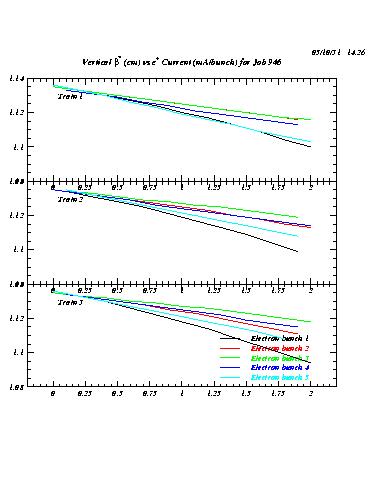
BBI Effects including alpha* and Electron Waist


Lattice: 4260_092605_v1

31 October 2005


2.130 GeV lattice in use during September, 2005, replaced 4260_092605_v1. 9x5 bunch configuration with maximum 2 mA/postron bunch. The BBI at the IP is turned on in this calculation.
log file



Creation date: 10/31/05.