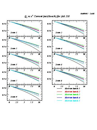
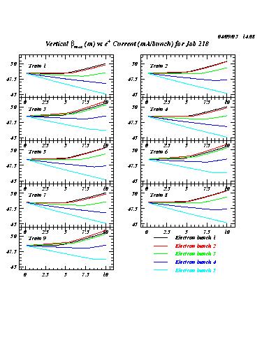
Bunch-by-Bunch Analysis of CHESS Optics


Lattice: chess_20040820_1445

3 September 2004


9x5 positron bunches, uniformly filled. PRZ13=0. This lattice has a 2.6 mm e+/e- horizontal separation at the IP in its design. Log file



Creation date: 09/09/04.