BMAD Calculations of BBI Effects in CHESS and CESRc Optics


Machine Studies Meeting
28 October 2004


These three slides show recently obtained results of BMAD calculations of the BBI effect for the 1.8 GeV and CHESS lattices presently in use. The effects are very strong in the 1.8 GeV optics and can be expected to limit the positron bunch current to less than a few mA per bunch. Here we show the dependence of emittance and beta blowup on positron bunch current.

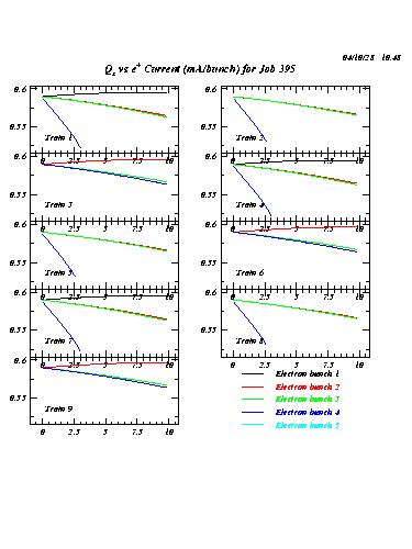
The CHESS design optics are much less susceptible to these effects, allowing positron bunch currents well over 7 mA per bunch. However, the CHESS design optics do not provide for any separation at the south IP, so standard running conditions include setting a nonzero value for PRZ13. The simulation shows that with PRZ13 set to a value such that the separator kicks at 8E and 8W are changed by 30%, corresponding to a separation at the IP of 1.5 mm, the BBI effects become considerable, and electron bunch 4 is dramatically effected for positron bunch currents greater than 1 mA per bunch. The horizontal tune shift is shown here as an example.
(Note added 5 Nov 2004: This odd behavior of bunch 4 was later found to be a mistake in the calculation for the case where a BBI occurs in a horizontal separator, as is true for certain electron bunches. The corrected calculations can be found here for the CHESS lattice and here for the CESRc lattice. There was no effect on the results for the CESRc lattice, because the design pretzel was used and the separator kicks were not changed. These links have the full complement of calculations for each lattice.

The following slides show results for the 1.8 GeV lattice hibetainj_20040628_flm labelled Job 382 and those for the CHESS lattice chess_040928_0800 labelled Job 395.

An overview of these calculations can be found here.




Creation date: 11/05/04.