Updated 8-Pole Wiggler Design

and

First Model of Single-Pole Test Setup



CESRc Working Group Meeting

13 September 2002

Postscript files are also available.:

Outline
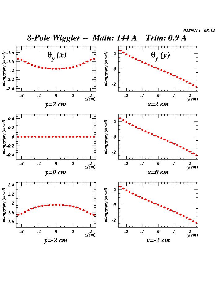
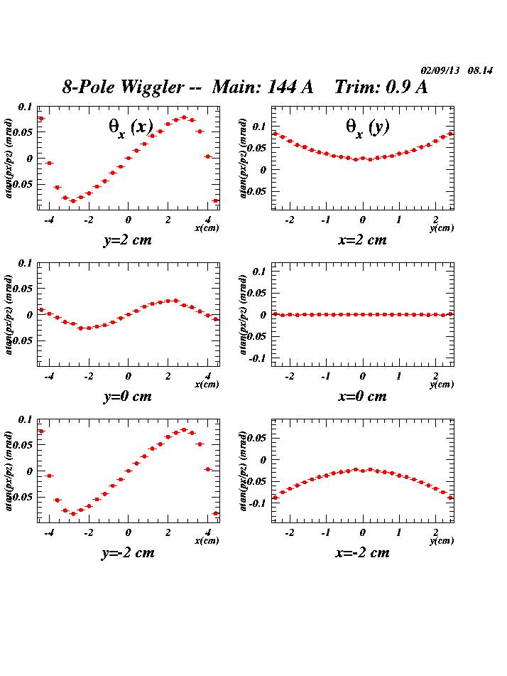
Field Profiles and Integrals
Tracking and Transfer Functions
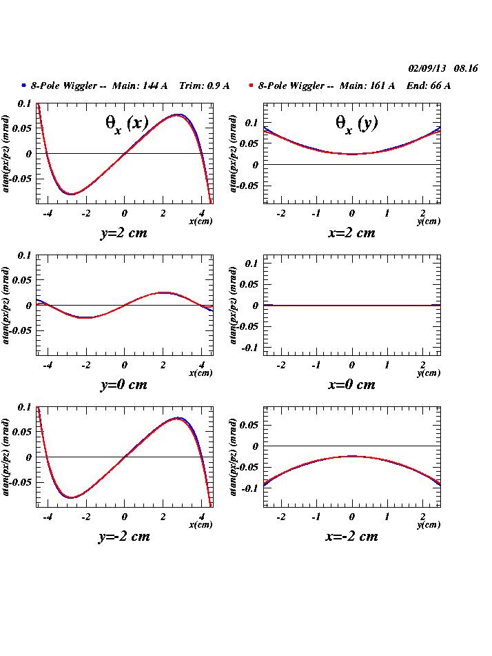
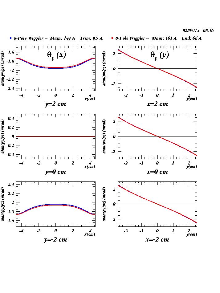
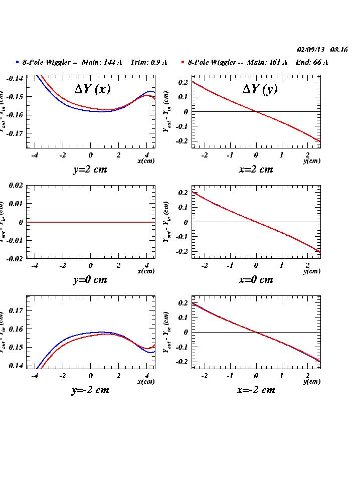
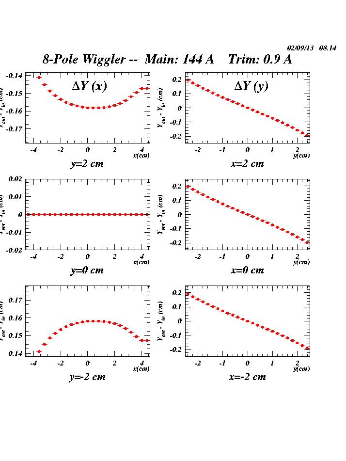
Comparison of transfer functions for updated 8-pole wiggler design and previous design
Table of Pole Geometries used for Field Calculations

PNG files for the model of the Single-Pole Test Setup:
Geometry of Model for Single-Pole Test Setup
B_Y versus Z
B_Y versus Y
B_Y versus X





Creation date: 09/14/02.