Effect of Forward/Backward Tilt of Upper Half of 8-Pole Wiggler

and

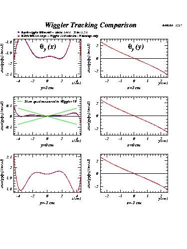
Modelling Coil Selection for Wiggler 14



CESRc Working Group Meeting

16 January 2004

The first picture shows an exaggerated tilt of +- 3 inches. The following plots of field integrals show the effect of a tilt of +- 50 mils, i.e. a tilt where the forward and backward ends of the upper half differ vertically by 2.5 mm. Such a large tilt is excluded by the construction tolerances and anyway only produces a field integral of about 2 gauss-meters, so is unlikely to be the cause of the effects we have seen in the measured field integrals.
The transfer functions for the model of wiggler 14 show that the proposed coil selection will give a field quality within specifications. After the talk, the calculation of the field integrals was completed and showed that the field integrals are within specifications as well.



Creation date: 01/16/04.