Geometrical Errors and Skew Quad Component

and

New Field Calculation Method in Vector Fields



CESRc Working Group Meeting

18 October 2002

Postscript files are also available.:

Outline

Comparison of Transfer Functions for 3-Pole and 7-Pole Model The focal length of the vertical focusing is about 10 m in the 7 pole and about 20 m in the 3-pole. The measured skew quad component is about 3% of this strength, corresponding to an 0.07 mrad horizontal (vertical) kick at y=2cm (x=2cm). The trim current needed to compensate the horizontal kick at x=0 is 1.3 A in both the 3-pole and 7-pole model. The asymmetry in the dependence of horizontal kick on horizontal position is much less pronounced in the 3-pole model than in the 7-pole model. The accuracy of both models is good enough to exclude the magnitude of the measured skew quad component.

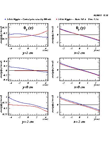
Raise central pole pair by 100 mils. The entire length of the yoke plate was also raised by 100 mils in this model. A skew quad component of about the right magnitude appears in both the horizontal and vertical kick. (Note added 24 October: A mistake in the geometry was made here. See talk of 25 October for details.)

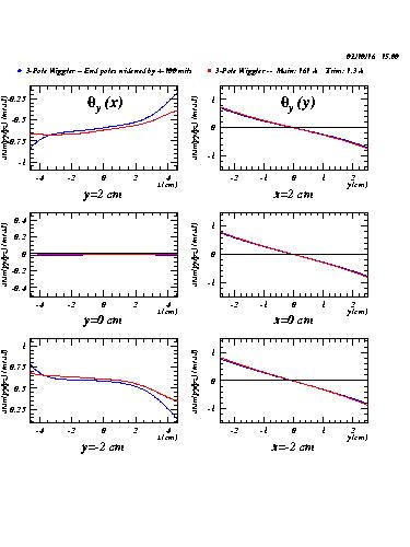
Increase the gap between the end poles by +-100 mils. The yoke plates were also raised and lowered accordingly in this model. Effects on the horizontal kick are very dramatic, but do not show a skew quad behavior. The vertical kick changes little.

Compare the two methods of field calculation. The method used until now relied on the TOSCA relaxation on the mesh points in the measurement region to get the magnetization contribution to the field via interpolation. The current contribution was obtained by integrating over elements of current density. The new method integrates over the magnetizations on the mesh in the steel instead, getting the current contribution in the same way. This latter method is about a factor of ten slower. The differences in BY on the central axis can reach about 50 gauss.

Comparison of curl and divergence. Calculations of divergence and curl using the new table show Maxwell's equations to be satisfied with factor 4-5 better accuracy than in the old table. Since the new method needs no mesh in the region where the field is calculated, this method may allow calculation of fields from geometrical errors for the 7-pole model, since an 8/8 model is smaller because one doesn't need the mesh in the beampipe region.




Creation date: 10/24/02.