Geometrical Errors, Coil Deformation

and

Skew Quad Component in the 3-Pole Model



CESRc Working Group Meeting

25 October 2002

Postscript files are also available.:

Outline

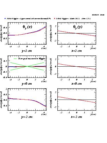
Decreasing the upper central coil current by 1% This corresponds to about 5 turns shorted out. A skew quad component much smaller than the one measured for the present 7-pole wiggler is found.

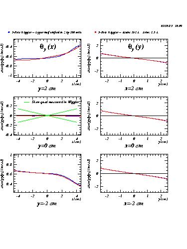
Displacing the upper half of the wiggler 100 mils longitudinally No appreciable skew quad component is found.

A skew quad component in the transfer functions of approximately the observed magnitude is found for:

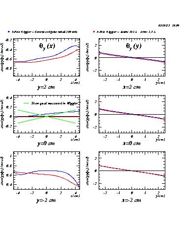
Raising the the upper and lower central poles, the corresponding yoke plate sections, and the two central coils by 100 mils. This error is meant to approximate a bowing of the wiggler. A skew quad component of about the observed magnitude is found.

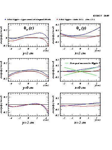
Elongating the central upper coil on one side horizontally bye 100 mils Again a skew quad component of about the observed magnitude is found.


Decrease current in upper central pole by 1% Shift upper half of wiggler by 100 mils in Z Raise central pole/coil/yoke by 100 mils Elongate upper central coil by 100 mils


Creation date: 10/24/02.