Evaluating Damping Ring Lattice Designs in Preparation
for Snowmass and an ILC Baseline Configuration Document

Return to Main

Dynamic Aperture Simulation With Linear Wigglers

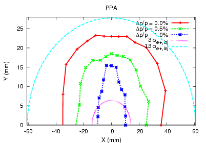
Using the lattices straight out of the box. Wiggler model is a series of alternating dipoles and includes none of the dynamic aperture limiting nonlinear dynamics from a realistic wiggler model. Injection point is taken to be element # 0 in each lattice, see Twiss parameters in Parameters Megatable. Injected normalized emittance of positrons = 0.01 m*rad. Dynamic aperture measured as amplitude out to which particles survive for 1 damping time.

Dynamic Aperture performed with Radiation Damping Off & Excitation Off:

Dynamic Aperture performed with Radiation Damping On & Excitation Off:

Dynamic Aperture performed with Radiation Damping On & Excitation On:

Return to Main
Created May 24, 2005
Modified July 28, 2005