Energy [GeV] | 2.085 |
Wiggler[T] | 1.9 |
Qx | 14.57 |
Qy | 9.6 |
Qz [4.5MV] | 0.055 |
Emittance [nm] | 2.6 |
Momentum compaction | 6.76e-3 |
- linear lattice constraints
- non linear lattice constraints energy offset +- 0.004 and disp
- lattice file BMAD and MAD8 format and
MADX format and
XSIF format
- Optical parameters and orbits
- RF voltage = 4.5, Qs=-0.055, Bunch length = 12.2mm
Tune scan
Tune scan gif and (initialization)
with Qz = -0.055, sb_jobs/081112/
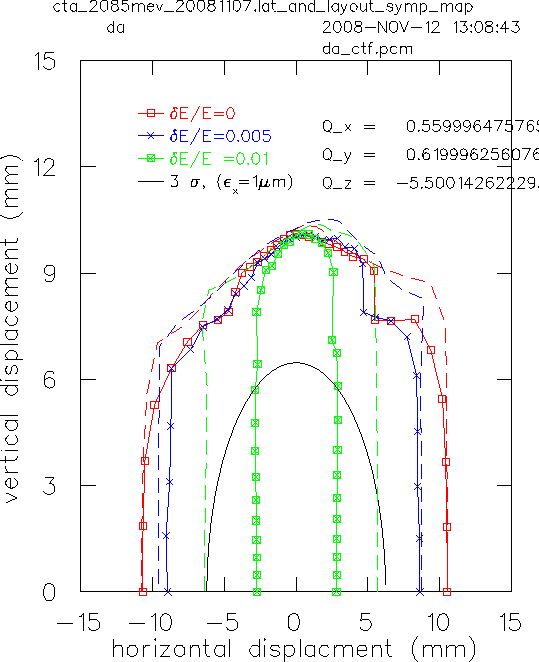
Dynamic aperture
Dynamic aperture is computed for fractional energy
offset of 0%, 0.5% and 1%. Tracking is based on symplectic integration through the same wiggler
map as for CESR-c calculations.
Particles are considered lost
if their amplitude >> the real physical aperture. (This seems to be the
way linear collider damping ring people report dynamic aperture.) The smooth yellow
curve corresponds to 3sigma, where sigma is the rms size of the "injected" beam, which is
again the custom of damping ring afficiondos. The horizontal emittance of the injected beam is
assumed to be 1000nm, and fully coupled so that the vertical emittance is half the horizontal
(500nm), just like for the real ILC damping rings. And that is real physical
emittance, not normalized.
Analyzer output
Synchrotron radiation data
|