Collective Effects in Cesr TA


July 6, 2008

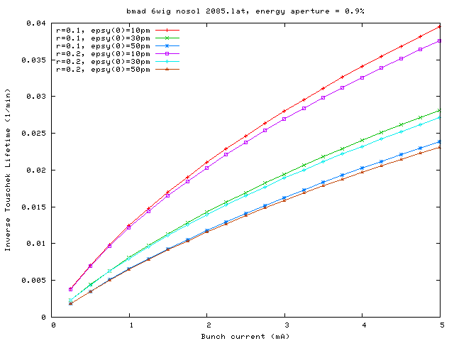
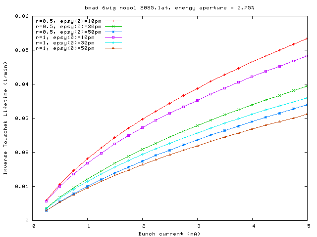
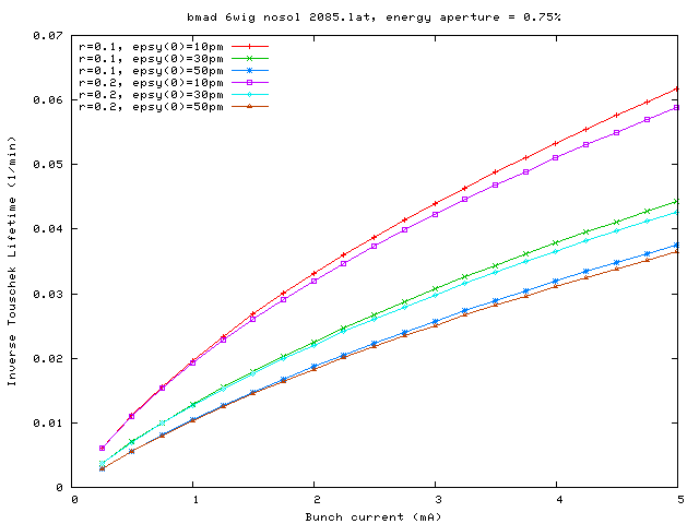
Use /home/dlr/developmnt7_linux/collective/test.f90 to compute beam size from intra beam scattering and touschek lifetime. Input parameters to IBS calculation are bunch charge, ratio of coupling to total vertical emittance. Input to Touschek calculation include energy aperture. I'm not sure what the energy aperture is. There is that associated with physical aperture, dynamic aperture and energy bucket. The relatively large momentum compaction in Cesr will limit energy aperture, since a relatively small energy offset will correspond to a big longitudinal position change, and the possibility that the particle will not make it into the bucket. Also the voltage figures. Here is a plot of lifetime vs current for various intial emittances, and couplings with energy aperture of 1% Lifetime (1%) And here is the result if the energy aperture is only 0.5% Lifetime (0.5%) Meanwhile we have some measurements. Details are in the machine studies log for June 21 and June 24, 2008. Single bunch and 9X1 positron lifetime Single bunch electrons lifetime, same conditions as positrons And another of single bunch positrons with artificially increased vertical emittance to about 0.43nm Comparison of theory and measurements shows that the lifetime is very sensitive to energy aperture and the measurement is consistent with something between 1% and 0.5%. Here is the calculation for energy aperture of 0.75% Lifetime (0.75%) And here it is for energy aperture 0.75% with initial vertical emittances of 100pm,300pm,500pm Lifetime (0.75% 100-300-500pm) And here it is for energy aperture 0.75% with initial vertical emittances of 10pm,30pm,50pm and r=0.1,0.2 which is closer to the measurement since then the vertical emittance was due presumably mostly to vertical dispersion. Lifetime (0.75% 10-30-50pm ratio 0.1 0.2) And here it is for energy aperture 0.75% with initial vertical emittances of 100pm,300pm,500pm and r=0.1,0.2 which is closer to the measurement since then the vertical emittance was due presumably mostly to vertical dispersion. Lifetime (0.75% 100-300-500pm ratio 0.1 0.2) Energy aperture 0.9%. Initial vertical emittances of 10pm,30pm,50pm. r=0.1,0.2. Lifetime (0.9% 10-30-50pm ratio 0.1 0.2) Energy aperture 0.85%. Initial vertical emittances of 10pm,30pm,50pm. r=0.1,0.2. Lifetime (0.85% 10-30-50pm ratio 0.1 0.2) Energy aperture 0.9%. Initial vertical emittances of 5pm,15pm,25pm. r=0.05,0.1. Lifetime (0.9% 5-15-25pm ratio 0.05, 0.1) ------------------------------- According to Sands p.95 equation 3.61, with parameters from bmad_6wig_nosol_2085.lat alpha = 1.154e-2 U_0=0.107MeV k=1281 E_0=2085MeV V=6MV (at f_s = 35kHz, V=6.8MV) Delta E/E ~ 0.011 So I guess the 1% estimate is good, unless the limit is dynamic or physics aperture. Note that the energy aperture scales roughly as (V_RF/U_0)**0.5. Measurements of lifetime vs RF voltage might be illuminating. And when we have all 12 wigglers, that will double U_0 and reduce energy aperture by 0.7 But the 6 wiggler data does not really fit unless the energy aperture < 0.85%. Is that possible?