Tune scan
Tune scan gif and (initialization)
with Qz=-0.07
Dynamic aperture
The dynamic aperture gif ( ps )
and (initialization) .Qx=14.57 Qy=9.62,Qz=-0.07.
The horizontal and vertical tunes are
shifted in order to avoid the synchrobetatron line that shifts with the lower synchrotron tune. (See tune scans)
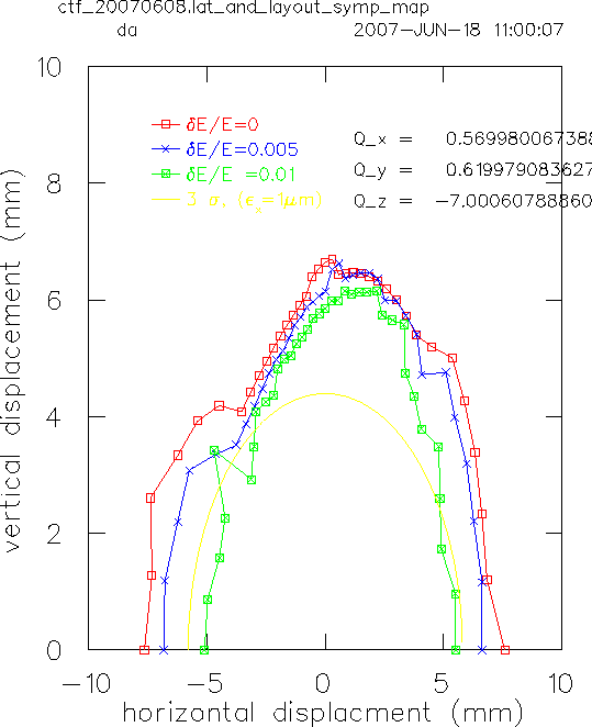
Dynamic aperture is computed for fractional energy offset of 0%, 0.5% and 1%. Tracking is based on symplectic integration through the same wiggler map as for CESR-c calculations. Particles are considered lost if their amplitude >> the real physical aperture. (This seems to be the way linear collider damping ring people report dynamic aperture.) The smooth yellow curve corresponds to 3sigma, where sigma is the rms size of the "injected" beam, which is again the custom of damping ring afficiondos. The horizontal emittance of the injected beam is assumed to be 1000nm, and fully coupled so that the vertical emittance is half the horizontal (500nm), just like for the real ILC damping rings. (I believe this is also Jeremy's custom.) And that is real physical emittance, not normalized.