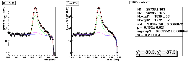
Mode 0 : D0 &rarr K- &pi+

| Name |
Value |
Error |
| N1 |
25737.6328464985 |
163.4389398512 |
| N2 |
26234.6536237658 |
164.9301338611 |
| Nbkgd1 |
1839.3686455281 |
53.0619819944 |
| Nbkgd2 |
1772.3478719058 |
52.3564081330 |
| md |
1.8642519994 |
0.0000072209 |
| p |
0.1617139874 |
0.0235185043 |
| sigmap1 |
0.0039521339 |
0.0000485522 |
| xi |
-0.2000968295 |
3.3726307396 |
| chisq1 |
83.3209842160 |
0.0000000000 |
| chisq2 |
87.3380403802 |
0.0000000000 |
Mode 1 : D0 &rarr K- &pi+&pi 0

| Name |
Value |
Error |
| N1 |
50211.3737034780 |
258.2405939897 |
| N2 |
50473.0072386477 |
259.5325025643 |
| Nbkgd1 |
25078.8245100822 |
203.8539284256 |
| Nbkgd2 |
25232.1720632221 |
205.2223044984 |
| md |
1.8642701115 |
0.0000075448 |
| p |
0.5740746909 |
0.0179255353 |
| sigmap1 |
0.0066999773 |
0.0000525499 |
| xi |
-16.8677046630 |
0.8923483340 |
| chisq1 |
50.2984954640 |
0.0000000000 |
| chisq2 |
60.6804438195 |
0.0000000000 |
Mode 3 : D0 &rarr K- &pi+ &pi - &pi+

| Name |
Value |
Error |
| N1 |
39668.3168439164 |
216.0698652941 |
| N2 |
39566.3645612494 |
215.7902223127 |
| Nbkgd1 |
17183.0891153592 |
155.5681642359 |
| Nbkgd2 |
17273.0363992085 |
155.7956894829 |
| md |
1.8642563566 |
0.0000062744 |
| p |
0.4776092697 |
0.0201833270 |
| sigmap1 |
0.0040998226 |
0.0000495052 |
| xi |
-8.3656014067 |
0.9885593271 |
| chisq1 |
81.1310119427 |
0.0000000000 |
| chisq2 |
74.0248677853 |
0.0000000000 |
Mode 200: D+ &rarr K- &pi+ &pi+

| Name |
Value |
Error |
| N1 |
40186.6610038290 |
207.2183706660 |
| N2 |
40674.7405199402 |
208.5245195627 |
| Nbkgd1 |
5551.3354414906 |
91.1625117116 |
| Nbkgd2 |
5591.7088951028 |
91.6704069262 |
| md |
1.8690775513 |
0.0000054550 |
| p |
0.6053302102 |
0.0374172293 |
| sigmap1 |
0.0040421625 |
0.0000480940 |
| xi |
-15.9164275957 |
1.7393347933 |
| chisq1 |
101.8680667776 |
0.0000000000 |
| chisq2 |
109.2024460661 |
0.0000000000 |
Mode 201: D+ &rarr K- &pi+&pi+ &pi 0

| Name |
Value |
Error |
| N1 |
12821.1450603552 |
150.0101891820 |
| N2 |
12734.9387185374 |
149.9629327139 |
| Nbkgd1 |
28942.6309311443 |
196.4931012673 |
| Nbkgd2 |
29675.1236965179 |
198.5395986216 |
| md |
1.8690894431 |
0.0000150234 |
| p |
0.5099790779 |
0.0110325477 |
| sigmap1 |
0.0045745000 |
0.0000954488 |
| xi |
-10.8405790564 |
0.5640543333 |
| chisq1 |
49.9415476188 |
0.0000000000 |
| chisq2 |
69.6395774150 |
0.0000000000 |
Mode 202: D+ &rarr KS0 &pi+

| Name |
Value |
Error |
| N1 |
5780.1556780362 |
81.4155125260 |
| N2 |
5859.1839383950 |
81.5129797758 |
| Nbkgd1 |
1852.7566081131 |
51.9720805936 |
| Nbkgd2 |
1769.7596241222 |
50.5461276705 |
| md |
1.8690800357 |
0.0000148570 |
| p |
0.5993981889 |
0.0686858290 |
| sigmap1 |
0.0022219609 |
0.0000669179 |
| xi |
-11.0321920293 |
3.2326464026 |
| chisq1 |
44.5730054113 |
0.0000000000 |
| chisq2 |
61.6695095507 |
0.0000000000 |
Mode 203: D+ &rarr KS0 &pi+ &pi 0

| Name |
Value |
Error |
| N1 |
13248.4062763172 |
158.8184792850 |
| N2 |
13101.0401433373 |
157.1428657344 |
| Nbkgd1 |
30681.6578097801 |
206.4788832806 |
| Nbkgd2 |
30842.3272574832 |
205.9447044327 |
| md |
1.8691085265 |
0.0000158164 |
| p |
0.5224456571 |
0.0178126035 |
| sigmap1 |
0.0068557678 |
0.0001413401 |
| xi |
-10.5613423279 |
0.8696315424 |
| chisq1 |
59.2020025249 |
0.0000000000 |
| chisq2 |
66.2495934902 |
0.0000000000 |
Mode 204: D+ &rarr KS0 &pi+ &pi+ &pi -

| Name |
Value |
Error |
| N1 |
8261.0486985636 |
133.4477902144 |
| N2 |
8270.7483102217 |
132.9606057421 |
| Nbkgd1 |
41215.0469745886 |
225.2994313097 |
| Nbkgd2 |
40717.2686025824 |
223.8816338379 |
| md |
1.8690671745 |
0.0000183520 |
| p |
0.5089142006 |
0.0116818665 |
| sigmap1 |
0.0039124420 |
0.0001865051 |
| xi |
-9.9722902611 |
0.5682837904 |
| chisq1 |
51.4799956667 |
0.0000000000 |
| chisq2 |
48.8754314094 |
0.0000000000 |
Mode 205: D+ &rarr K+ K- &pi+

| Name |
Value |
Error |
| N1 |
3513.9104667213 |
72.9738788934 |
| N2 |
3495.1500766389 |
72.4331101181 |
| Nbkgd1 |
7410.1356118685 |
96.0268493753 |
| Nbkgd2 |
7293.8969626456 |
95.1054362153 |
| md |
1.8690880972 |
0.0000236522 |
| p |
0.5382495439 |
0.0292358575 |
| sigmap1 |
0.0049391037 |
0.0002526095 |
| xi |
-10.4359922382 |
1.4092837773 |
| chisq1 |
63.0138704234 |
0.0000000000 |
| chisq2 |
56.0016758437 |
0.0000000000 |