7-Pole Field Integral and Kick for 1.7 T, 1.9 t and 2.1 T Peak Fields

and

7-, 8-Pole Transfer Function Comparisons, including new 2.1 T 8-pole field



CESRc Working Group Meeting

23 August 2002

Postscript files are also available.:

Outline
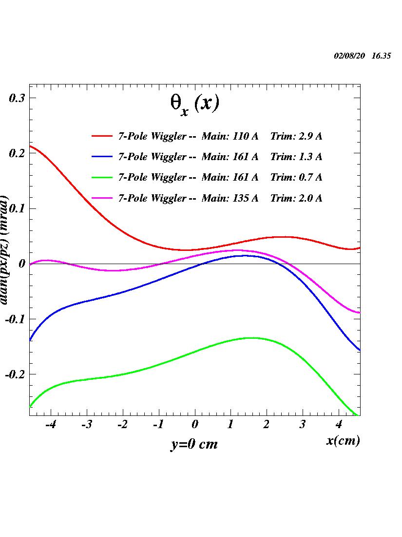
Linear integral of BY for 1.7 T, 1.9 T and 2.1 T. Adjustment of the trim coil current can give an integral for 2.1 T which is even small and more uniform than at 1.9 T, but ...
... such a trim current also gives a big (200 microradian) kick at x=0.
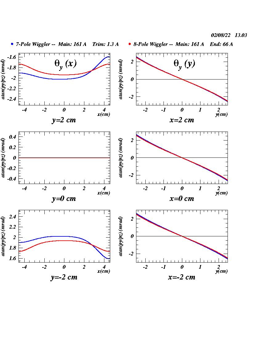
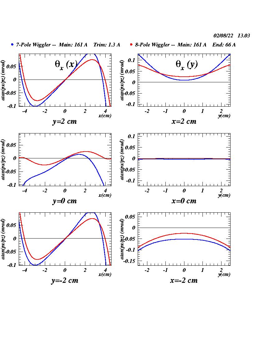
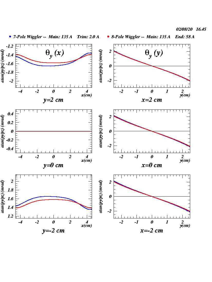
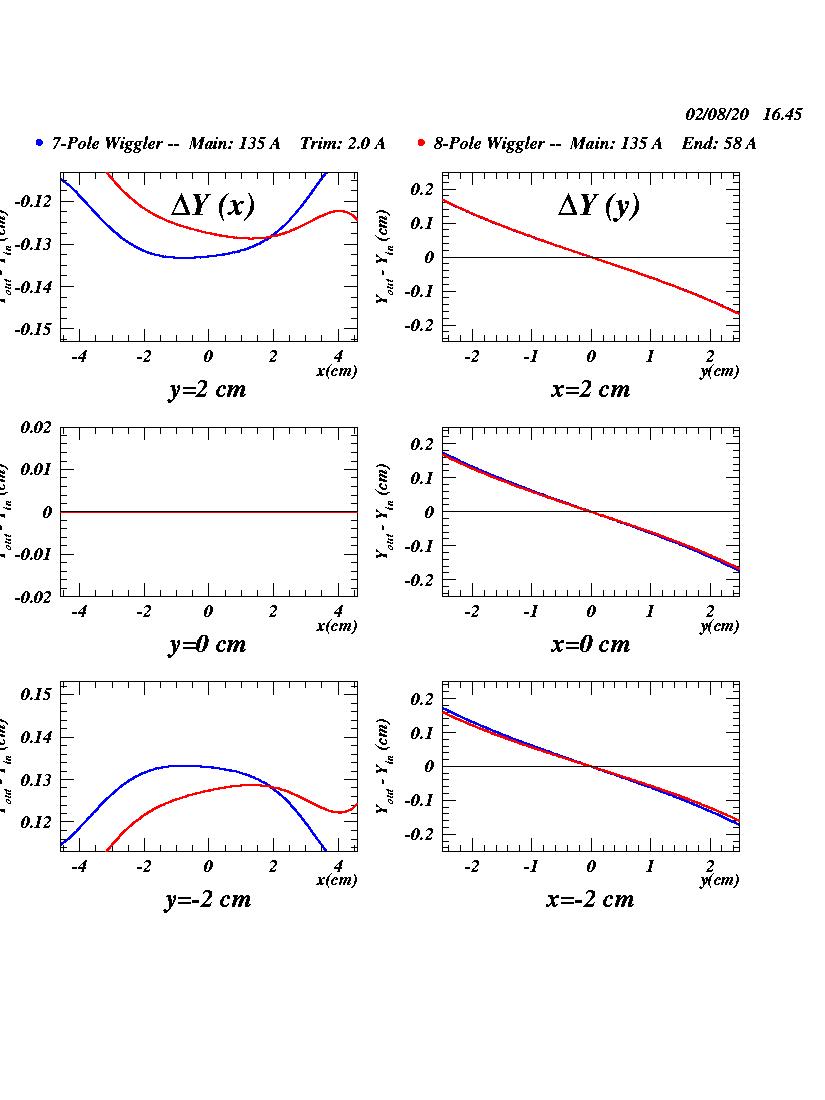
7-, 8-Pole Transfer Function Comparison for 2.1 T Peak Field
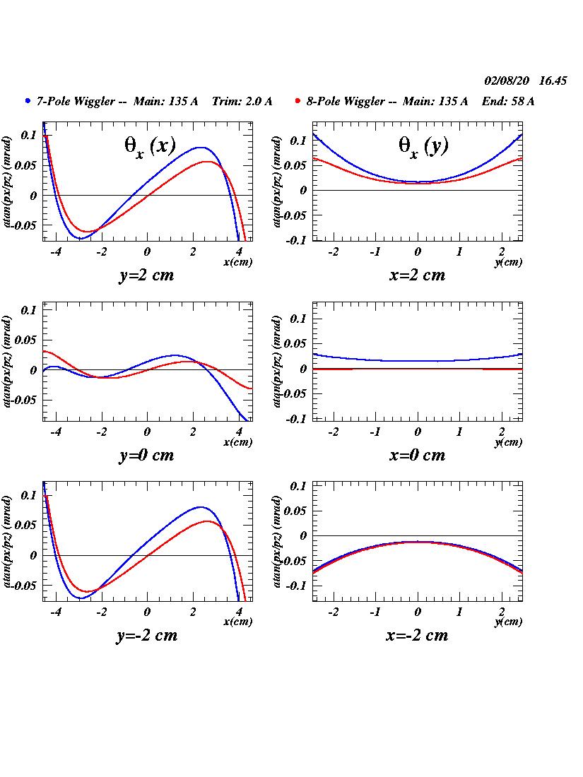
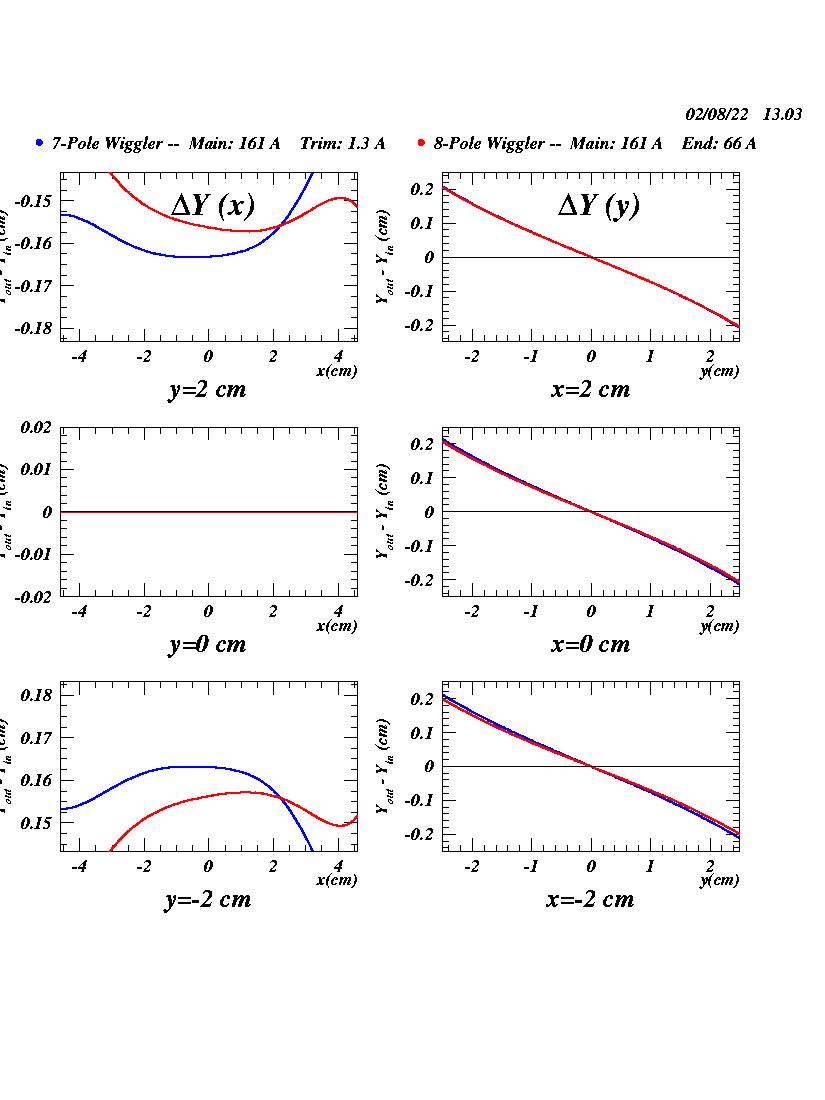
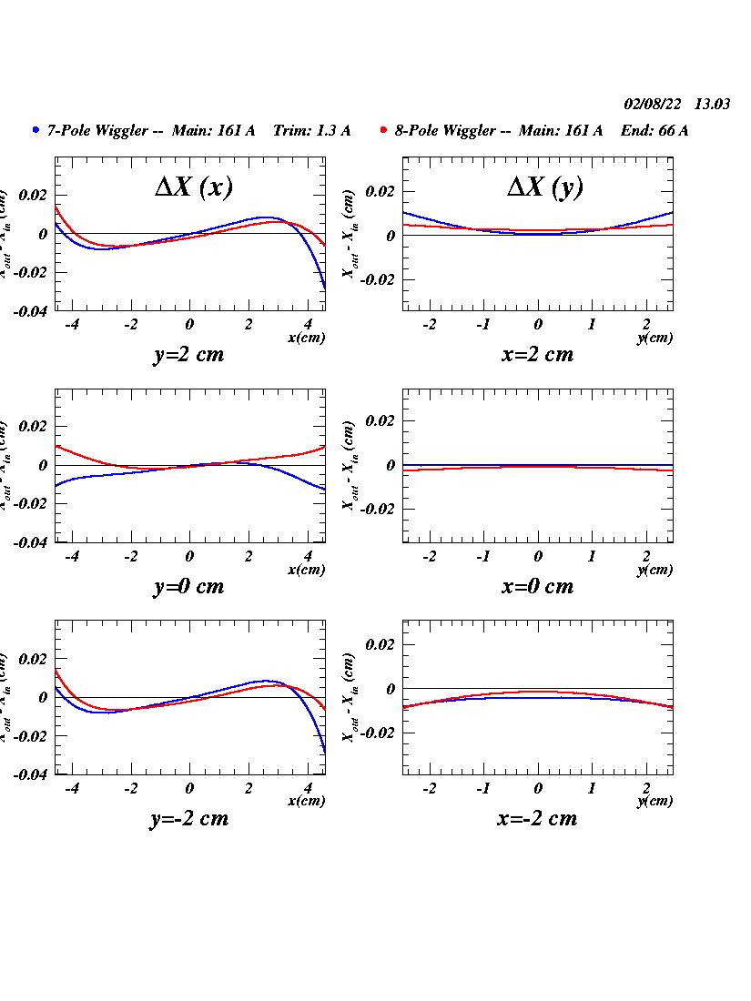
7-, 8-Pole Transfer Function Comparison for 1.9 T Peak Field
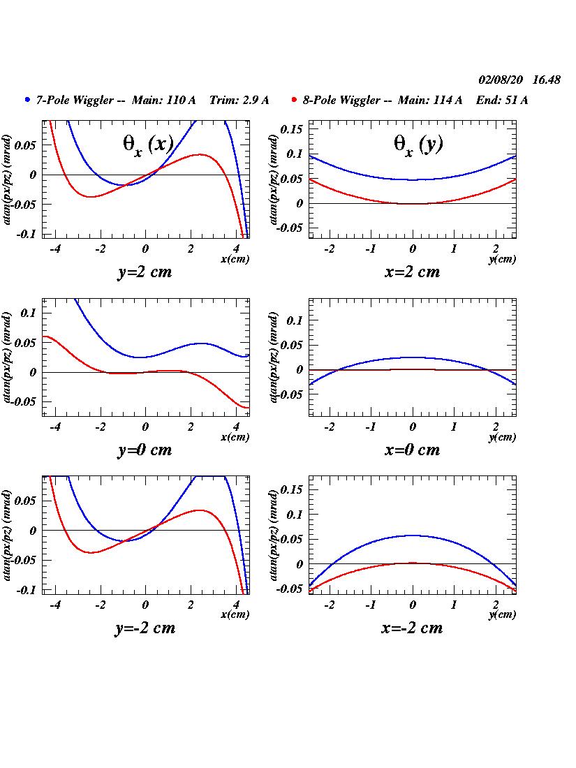
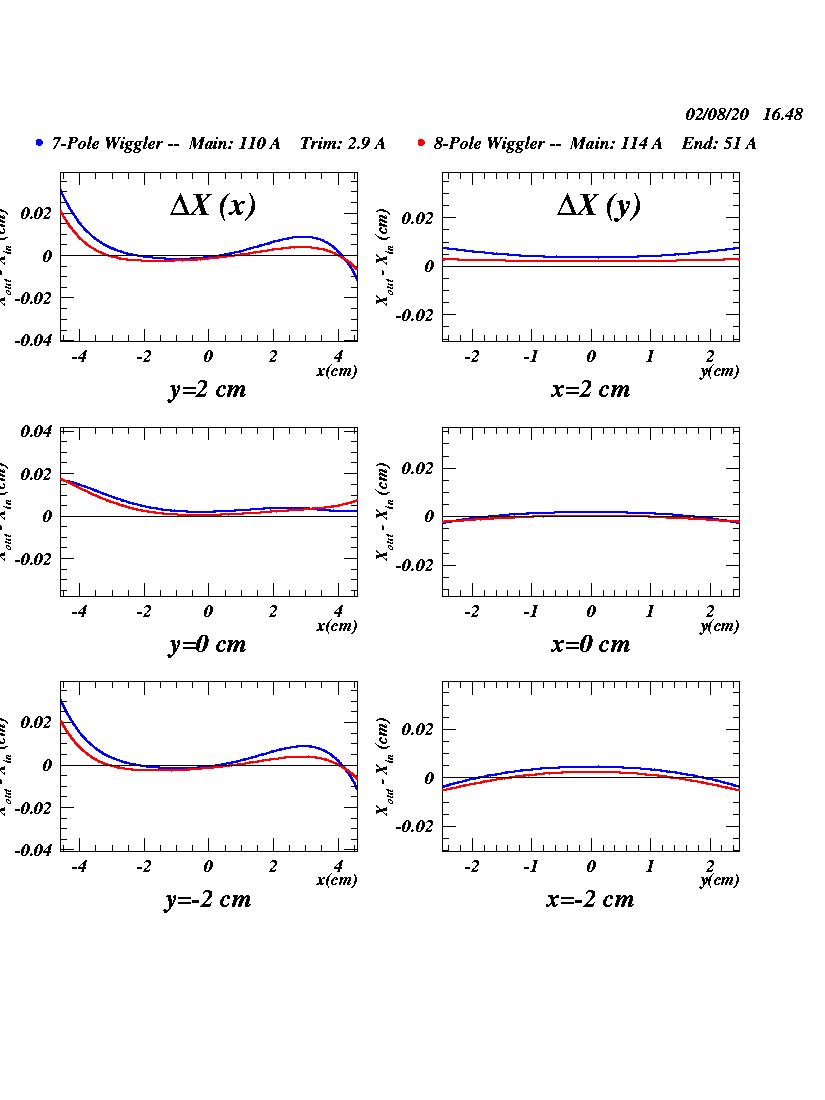
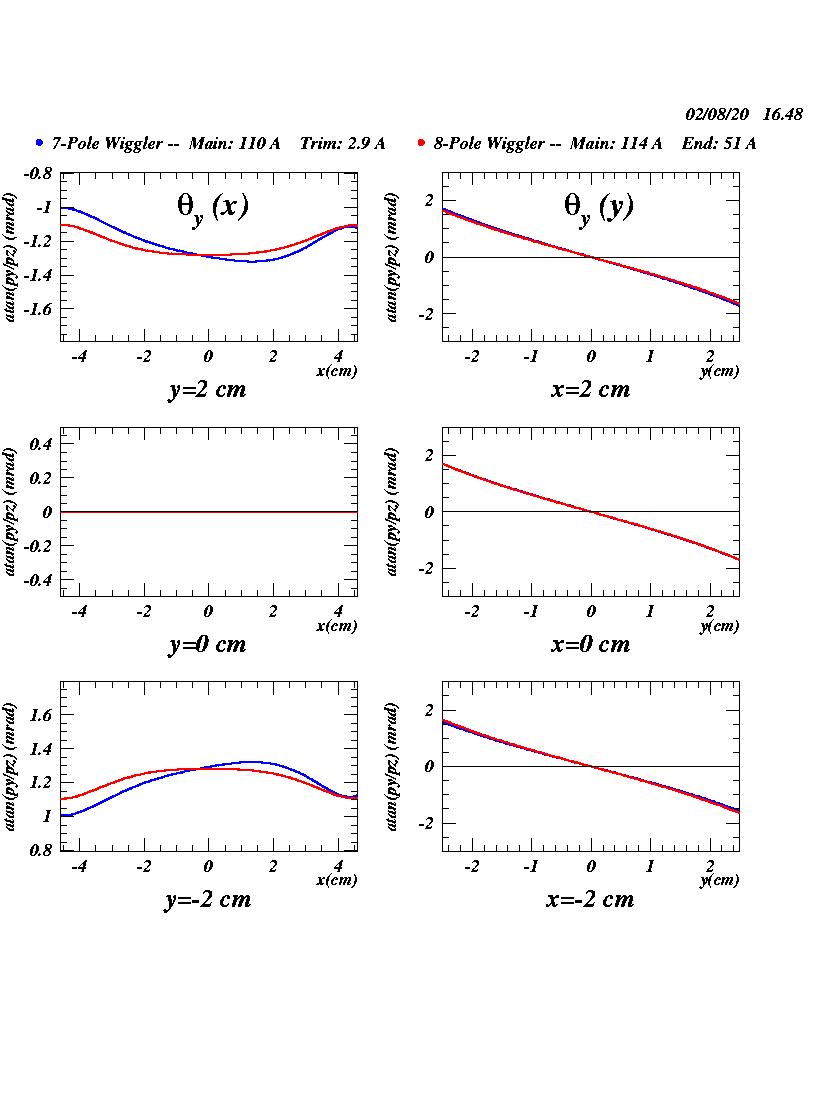
7-, 8-Pole Transfer Function Comparison for 1.7 T Peak Field
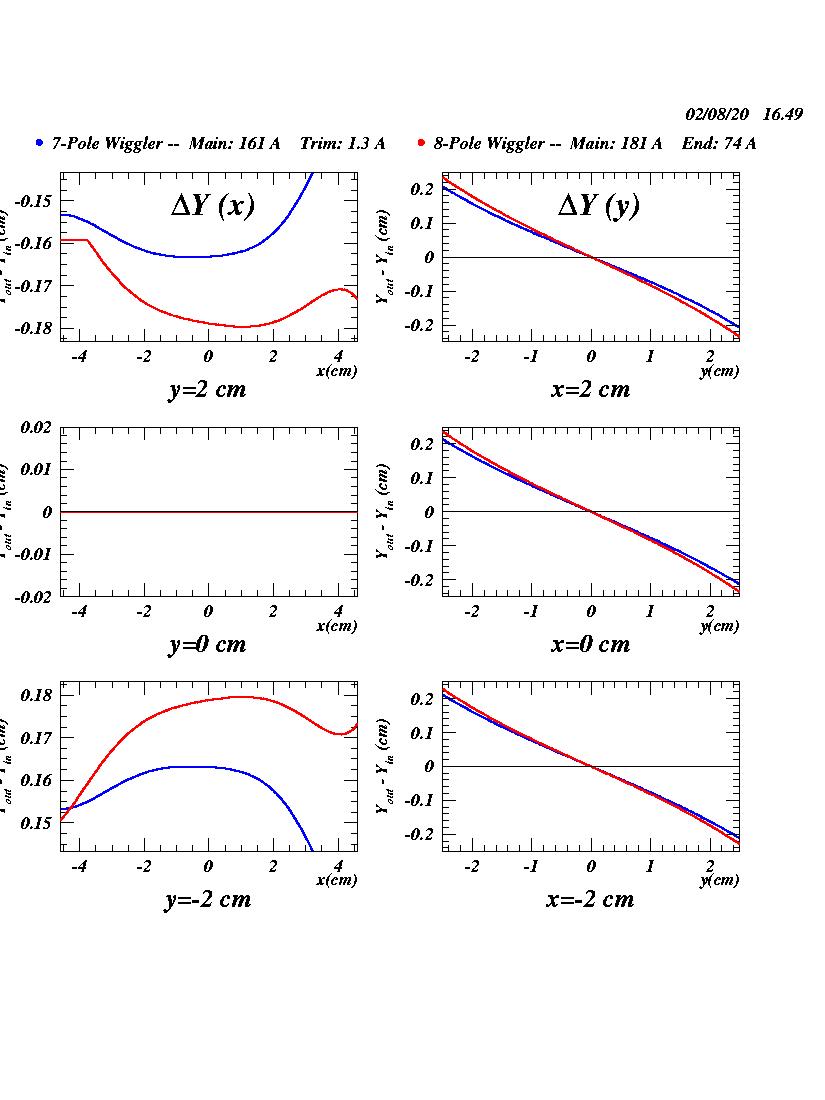
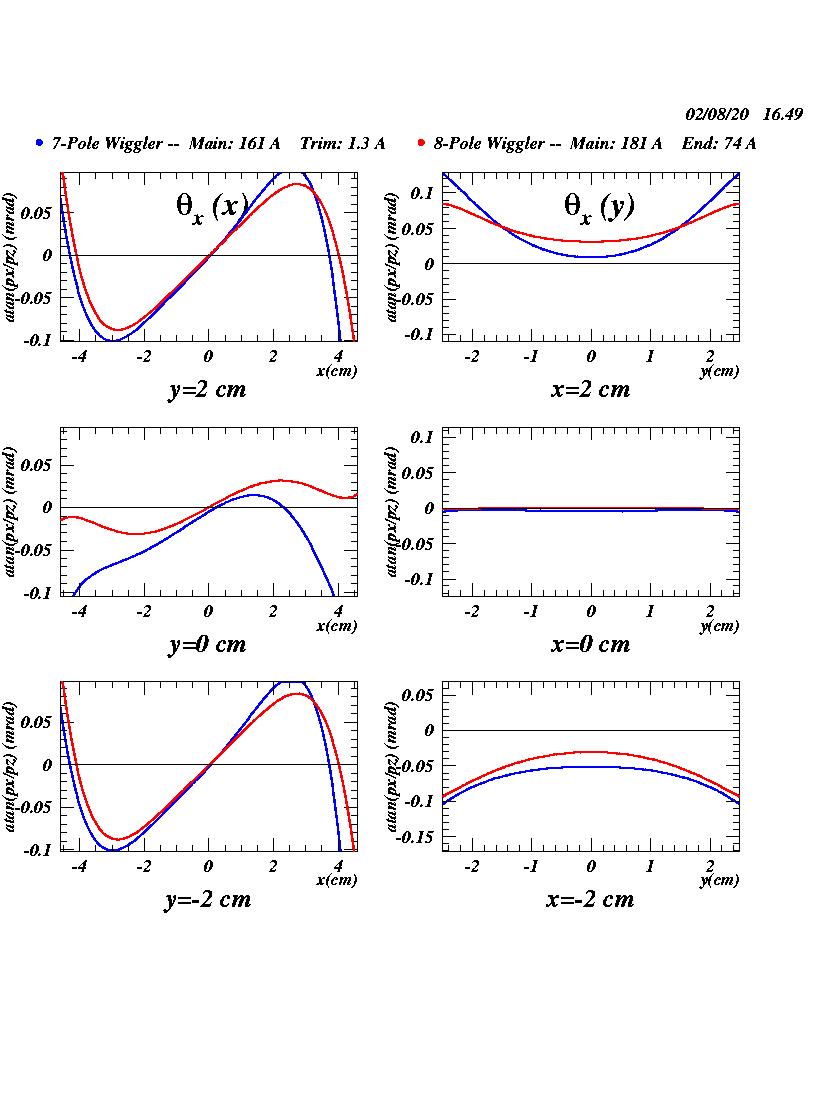
Transfer Function Comparison for 2.1 T 7-Pole Field and 2.3 T 8-Pole Fields




Creation date: 08/23/02.